Xバー理論 わかりやすく
![]()
Xバー理論 Wikipedia

生成文法のxバー理論に関するメモ 御光堂世界 Pulinの日記

みんなのレビュー チョムスキー入門 生成文法の謎を解く 町田健 著 光文社新書 光文社新書 Honto本の通販ストア
言語情報処理 用語集

X理論 Y理論とは モチベーションアップ理論をわかりやすく解説 人事担当者のためのミツカリ公式ブログ
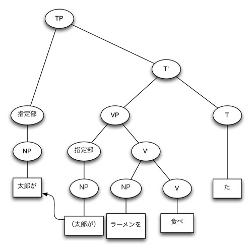
1

生成文法のx Bar理論について X Bar理論について学習しているので Okwave

生成文法のxバー理論に関するメモ 御光堂世界 Pulinの日記

マグレガーのx理論 Y理論とは 基礎から発展 関連理論までわかりやすく解説 やる気を引き出すマネジメント やる気ラボ やる気の出る毎日をつくる ライフスタイルマガジン
Xバー理論についてどのサイトを見てもxバー理論について理解でき Yahoo 知恵袋

マグレガーのx理論 Y理論をわかりやすく解説 モチベーションの高め方 Biz College
You have just read the article entitled Xバー理論 わかりやすく. You can also bookmark this page with the URL : https://narrowsuppo.blogspot.com/2021/12/x.html
0 Response to "Xバー理論 わかりやすく"
Post a Comment